Fotografiile oferite de dvs. ar putea fi folosite pentru a îmbunătăți serviciile Bing de procesare a imaginilor.
Politică de confidențialitate
|
Condiții de utilizare
Nu pot utiliza acest link. Verificați dacă linkul începe cu 'http://' sau 'https://' și încercați din nou.
Imposibil de procesat această căutare. Încercați o altă imagine sau cuvinte cheie.
Încercați Căutare vizuală
Căutați, identificați obiecte și text, traduceți sau rezolvați probleme folosind o imagine
Trageți una sau mai multe imagini aici,
Încărcați o imagine
sau
deschideți camera
Trageți imaginile aici pentru a începe căutarea
Pentru a utiliza Căutarea vizuală, activați aparatul foto din acest browser
English
Toate
Căutați
Imagini
Inspirație
Creați
Colecții
Videoclipuri
Hărți
Știri
Mai multe
Cumpărături
Zboruri
Călătorii
Interfață mesaje
Principalele sugestii pentru Pole HDR Unity
Unity
CubeMap
Unity
2D Assets
Unity
Screen
Unity
Skybox
HDR
Tone Mapping
4K HDR
Sky
Unity
Skybox Free
Unity3D
Shader
HDR
Lighting
Night
Skybox
HDR
Environment Map
Unity
URP
HDR
Image-Based Lighting
Unity
Engine Graphics
Hdri
Sky
High Dynamic
Range
Unity HDR
Asset
Hdri Sky Free
Download
Unity HDR
Magneta
City Skybox
Unity
Lava
Hdri
Unity
3D Graphics
Unity HDR
Emmeion Map
Unity HDR
Color
Unity
Create Skybox
Unity
Archviz
2D
Scenery
Space
HDR Unity
Unity
3D ライト
Explorați mai multe căutări ca Pole HDR Unity
Nature
Photography
Wallpaper
4K
High Dynamic
Range
Photography
Gallery
Architecture Wallpaper
4K
Photography
Books
4K Backgrounds
for PC
Background
Images
Landscape
Photography
UltraWide
Wallpaper
Still Life
Photography
Photography
Examples
NVIDIA
RTX
Video
Games
Desktop
Wallpaper
Wallpaper
Abstract
Chicago
Skyline
Color
Test
Color
Space
Sniper
Rifle
Maine
Wallpaper
4K Ultra HD
Color
Sunny
Beach
High-Rise
Building
Portrait
Photography
Images
Download
Color
Chart
Engineering
Logo
Nature
Images
Daylight
Landscape
Logo.png
Mountain Wallpaper
4K
Wallpaper
for Laptop
Sky
Landscape
PlayStation
5
HDR Gaming
Monitor
Car
Photography
Warm
White
Night
Photography
Full
HD
Background
4K
Stock
Images
Texture
PNG
4K
UHD
Las
Vegas
PC
Wallpaper
8K
UHD
Lightroom
Eyes
Landscape
4K
Persoanele interesate de Pole HDR Unity au mai căutat și
Close-Up
Sky
HD
What
Is Ai
iPhone
Camera
SDR
4K
Display
Night
Sky
vs
SDR
Redare automată a tuturor GIF-urilor
Aici puteți modifica redarea automată și alte setări pentru imagini
Redare automată a tuturor GIF-urilor
Acționați comutatorul pentru le porni
GIF-uri cu redare automată
Dimensiunea imaginii
Toate
Mic
Medie
Mare
Foarte mari
Cel puțin...*
Lățime personalizată
x
Înălțime personalizată
px
Introduceți un număr pentru lățime și înălțime
Culoare
Toate
Numai culoare
Alb și negru
Tip
Toate
Fotografie
Miniatură
Tragere linie
GIF animat
Transparent
Aspect
Toate
Pătrat
Lat
Înalt
Persoane
Toate
Doar fețe
Cap și umeri
Dată
Toate
Ultimele 24 de ore
Ultima săptămână
Ultima lună
Ultimul an
Licență
Toate
Toate Creative Commons
Domeniu public
Gratuit de partajat și de utilizat
Gratuit pentru partajare și utilizare comercială
Gratuit pentru modificare, partajare și utilizare
Gratuit pentru modificare, partajare și utilizare comercială
Aflați mai multe
Golire filtre
Căutare sigură:
Moderat
Strictă
Moderată (implicit)
Dezactivată
Filtru
Unity
CubeMap
Unity
2D Assets
Unity
Screen
Unity
Skybox
HDR
Tone Mapping
4K HDR
Sky
Unity
Skybox Free
Unity3D
Shader
HDR
Lighting
Night
Skybox
HDR
Environment Map
Unity
URP
HDR
Image-Based Lighting
Unity
Engine Graphics
Hdri
Sky
High Dynamic
Range
Unity HDR
Asset
Hdri Sky Free
Download
Unity HDR
Magneta
City Skybox
Unity
Lava
Hdri
Unity
3D Graphics
Unity HDR
Emmeion Map
Unity HDR
Color
Unity
Create Skybox
Unity
Archviz
2D
Scenery
Space
HDR Unity
Unity
3D ライト
2560×1707
poleunity.com.au
Pole Unity - Competition & Performance Experience
1080×1080
www.facebook.com
Pole Unity
93×320
waterloogiftshop.unitypoint.org
Peace Pole – Gift Shop | Uni…
2200×1650
tapeciarnia.pl
Jeziorko, Drzewa, Wzgórek, Płotek, Pole, HDR
1024×666
achievepolestudio.com.au
10 Ways Pole Team-Building Events Foster Unity | Achieve Pole Studio
400×290
fr.pinterest.com
totem-unity-pole-installation-ontario-first-nations-artist-named-kris-nahr…
900×600
fineartamerica.com
Alaskan Totem Pole HDR Photograph by Richard J Cassato | Fine Art America
992×702
academia.edu
Unity p-f. control of salient pole synchronous machine. the
960×640
wou.edu
Western Oregon unveils Peace Pole installation, fostering harmony and unit…
2560×1706
tapeciarnia.pl
Pole, Uprawne, Jesienią, Drzewo, Promienie, Słońca, HDR
980×684
pt.doitvision.com
O que é display HDR?4K HDR vs SDR e HDR10 vs. HDR400 - Fabricante de parede LED | DOIT VISÃO
1920×1789
vecteezy.com
Friendship and unity concept. Yemen and palestine flags p…
1024×1024
play.unity.com
Unity Play | Defend the pole game
Explorați mai multe căutări ca
Pole
HDR
Unity
Nature Photography
Wallpaper 4K
High Dynamic Range
Photography Gallery
Architecture Wallpaper 4K
Photography Books
4K Background
…
Background Images
Landscape Photography
UltraWide Wallpaper
Still Life Photography
Photography Examples
1024×1024
creativefabrica.com
North Pole HDR 8K, haute qualité, netteté…
400×400
renderhub.com
Unity Assets | Recreation | Fishing …
2560×1322
muddyrivernews.com
Rotary Club of Quincy dedicates Peace Pole as Global Symbol of Unity and Hope – Muddy Ri…
700×700
www.pinterest.com
America SVG Puerto Rico Rican Flag Pol…
509×339
istockphoto.com
The Us Flag On A Pole Is A Symbol Of Patriotism And Unity Represen…
1024×657
istockphoto.com
The Us Flag On A Pole Is A Symbol Of Patriotism And Unity Representing Th…
509×339
istockphoto.com
The Us Flag On A Pole Is A Symbol Of Patriotism And Unity Representing T…
283×400
knowunity.pl
Jak Obliczyć Pole i Obwód Kwadratów, Pro…
631×274
istockphoto.com
The Us Flag On A Pole Is A Symbol Of Patriotism And Unity Representing The Countrys Values ...
2240×2240
iguzzini.com
Twilight Canberra pole-top
1600×480
codmunity.gg
Best KILO 141 Loadouts for Warzone & Black Ops 6 | Meta Attachments
1284×1283
www.facebook.com
Aston Unity Cricket Club - AUCC Community Fun Day - Sunday 7t…
450×300
cnyrotary.org
Inspire Unity With Peace Poles | CNY Rotary
687×188
discussions.unity.com
Texture Array Shader Missing DOTS_INSTANCING_ON Variant - Unit…
639×639
koposoko.com
Sony 50X75K 50 Inch 4K HDR Andr…
731×552
docs.unity3d.com
Single-pass instanced rendering and custom sha…
560×560
magazineluiza.com.br
Smartphone Tecno Spark GO1 128G…
2000×1125
motorolanews.com
Global Blog | Pushing Boundaries: Motorola and Corning’s North Pole E…
Persoanele interesate de
Pole
HDR
Unity
au mai căutat și
Close-Up
Sky HD
What Is Ai
iPhone Camera
SDR
4K
Display
Night Sky
vs SDR
2160×2160
cgtrader.com
3D model Sci-Fi Lightning Pole Device …
1024×576
numerade.com
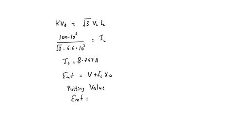
SOLVED: A 1000 kVA, 6.6 kV 3-phase star-connected cylindrical pole synchronous gen…
960×640
sasktoday.ca
Unity Legion Branch #90 has 104 years of history. - SaskToday.ca
460×240
worldpeace.org
Latest Rotary Peace Pole unveiled at Beauty Point Uniting Church, West Tamar, AUSTRA…
Unele rezultate au fost ascunse, deoarece pot fi inaccesibile pentru dvs.
Afișează rezultatele inaccesibile
Vedeți mai multe imagini
Recomandări pentru dvs.
Sponsorizat
Raportați conținut necorespunzător
Selectați una dintre opțiunile de mai jos.
Nerelevant
Ofensator
Adult
Abuz sexual împotriva copiilor
Părere