English
Toate
Căutați
Imagini
Videoclipuri
Hărți
Știri
Mai multe
Cumpărături
Zboruri
Călătorii
Interfață mesaje
Raportați conținut necorespunzător
Selectați una dintre opțiunile de mai jos.
Nerelevant
Ofensator
Adult
Abuz sexual împotriva copiilor
Durată
Toate
Scurt (sub 5 minute)
Mediu (5-20 minute)
Lung (peste 20 de minute)
Dată
Toate
Ultimele 24 de ore
Ultima săptămână
Ultima lună
Ultimul an
Rezoluție
Toate
Mai puţin de 360p
360p sau mai mult
480p sau mai mult
720p sau mai mult
1080p sau mai mult
Sursă
Toate
MySpace
Dailymotion
Metacafe
Preț
Toate
Gratuit
Cu plată
Golire filtre
Căutare sigură:
Moderat
Strictă
Moderată (implicit)
Dezactivată
Filtru
0:59
YouTube
Matheracy Matters
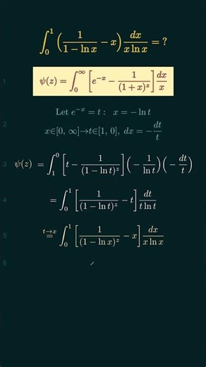
Integral of (1/(1-lnx)-x)/(xlnx) from 0 to 1
#digammafunction #calculus #integration #integral
Acum 3 luni
Integral Calculus
33:50
Antiderivatives
YouTube
The Organic Chemistry Tutor
1,5mil. vizualizări
21 apr. 2021
10:47
Indefinite Integral
YouTube
The Organic Chemistry Tutor
911,8mii vizualizări
8 mar. 2018
11:05
Definite Integral
YouTube
The Organic Chemistry Tutor
1,6mil. vizualizări
8 mar. 2018
Cele mai importante videoclipuri
3:00
int xlnx
YouTube
The math & computer science
11 vizualizări
Acum 3 luni
Integral of ln(ln(x))/(x*ln(x)) (substitution+substitution)
YouTube
Integrals ForYou
19,3mii vizualizări
14 dec. 2015
Solving xlnx=e
YouTube
SyberMath
97,3mii vizualizări
14 feb. 2022
Integral Examples
0:18
Integrals | Math Clinic
YouTube
Math Clinic
846 vizualizări
Acum 1 lună
Complex Integration ( Part 2 ) Explanation & Examples
YouTube
The BootStrappers
58,8mii vizualizări
19 iul. 2015
Basic Integration Formulas Lecture Part 1
YouTube
Yu Jei Abat
244,8mii vizualizări
5 apr. 2019
3:00
int xlnx
11 vizualizări
Acum 3 luni
YouTube
The math & computer science Tutor
Integral of ln(ln(x))/(x*ln(x)) (substitution+substitution)
19,3mii vizualizări
14 dec. 2015
YouTube
Integrals ForYou
Solving xlnx=e
97,3mii vizualizări
14 feb. 2022
YouTube
SyberMath
Integral of 1/(x ln x)
2,3mii vizualizări
8 iul. 2020
YouTube
Ravi Ranjan Kumar Singh
2:00
Use substitution to evaluate the Integral dx/(x ln x)
2,2mii vizualizări
13 mar. 2021
YouTube
Ms Shaws Math Class
3:58
Calculus - Integration by Parts (2 of 11)
27,3mii vizualizări
23 apr. 2013
YouTube
Michel van Biezen
1:47
Order Number Configuration XNX Universal Transmitter
62mii vizualizări
6 iul. 2023
YouTube
Honeywell Help & Support
16:00
Integration Using Excel
11,8mii vizualizări
23 mai 2021
YouTube
One Zero Infinity RA
2:39
integral xlnx 分部積分
3,7mii vizualizări
28 iul. 2020
YouTube
工程世界
15:55
Integration By Trigonometric Substitution
480,4mii vizualizări
14 mai 2018
YouTube
Professor Dave Explains
5:31
Integration by parts│exercise 3
125,8mii vizualizări
22 mar. 2012
YouTube
math2me
4:01
Numerical integration examples in Excel
98mii vizualizări
29 sept. 2015
YouTube
ExcelWorks LLC
2:23
How to Integrate log(x) dx
7,6mii vizualizări
19 ian. 2023
YouTube
Cowan Academy
1:26
Integral of lnx
584,1mii vizualizări
15 mar. 2018
YouTube
The Organic Chemistry Tutor
7:27
Integral of (lnx)^2
6mii vizualizări
Acum 10 luni
YouTube
Calculus Booster
2:45
How to Integrate ln(x)?
20mii vizualizări
23 nov. 2023
YouTube
Yeah Math Is Boring
3:32
How to Integrate ln(x)
202mii vizualizări
25 nov. 2014
YouTube
MasterWuMathematics
6:30
Integration by parts│special case
29,5mii vizualizări
22 mar. 2012
YouTube
math2me
4:54
Integral por partes lnx BACHILLERATO
483mii vizualizări
22 iun. 2011
YouTube
unicoos
1:46
Integral de ln x
2,5mii vizualizări
8 feb. 2022
YouTube
Problemas y Desafíos Matemáticos (PyDM)
1:32
Integral of xln x
14,2mii vizualizări
17 feb. 2018
YouTube
Whiteboard Maths
1:01
Derivative of xln x
36,7mii vizualizări
21 feb. 2018
YouTube
Whiteboard Maths
2:42
How to integrate ln(x^2)
21,4mii vizualizări
6 mai 2020
YouTube
The Complete Guide to Everything
1:44
Integration By Parts Integral xln3x
539 vizualizări
26 aug. 2021
YouTube
Kristen Pagni
1:03
How to integrate 1/(xlnx)
118,2mii vizualizări
20 mar. 2017
YouTube
Cowan Academy
3:42
Integral of (lnx)^2
249,6mii vizualizări
15 mar. 2018
YouTube
The Organic Chemistry Tutor
2:35
Integral of lnx/x
300,6mii vizualizări
14 mar. 2018
YouTube
The Organic Chemistry Tutor
1:11
Intégration - int de xln(x)
5,2mii vizualizări
19 mar. 2017
YouTube
AMM Maths
1:25
Integral de dx/(xlnx) - Substituição Simples
218 vizualizări
6 iul. 2018
YouTube
Professor 1BERTO Matemática
Vedeți mai multe videoclipuri
Mai multe ca acest lucru
Părere