English
Toate
Căutați
Imagini
Videoclipuri
Hărți
Știri
Mai multe
Cumpărături
Zboruri
Călătorii
Interfață mesaje
Raportați conținut necorespunzător
Selectați una dintre opțiunile de mai jos.
Nerelevant
Ofensator
Adult
Abuz sexual împotriva copiilor
Durată
Toate
Scurt (sub 5 minute)
Mediu (5-20 minute)
Lung (peste 20 de minute)
Dată
Toate
Ultimele 24 de ore
Ultima săptămână
Ultima lună
Ultimul an
Rezoluție
Toate
Mai puţin de 360p
360p sau mai mult
480p sau mai mult
720p sau mai mult
1080p sau mai mult
Sursă
Toate
MySpace
Dailymotion
Metacafe
Preț
Toate
Gratuit
Cu plată
Golire filtre
Căutare sigură:
Moderat
Strictă
Moderată (implicit)
Dezactivată
Filtru
byjus.com
Constructions Class 9 Math Notes - Get Detailed Notes Here
Class 9 maths construction notes provided here contain detailed information and are a great tool for studying productively and completing revisions before exams.
12 ian. 2019
Maths Class 10 Chapter 1 Videos
5:20
Why are there so many numbers?
byjus.com
350,9mii vizualizări
4 aug. 2017
10:06
Class 10 Maths | Chapter 2 | Introduction Part 1 | Polynomials | NCERT
YouTube
Class 10 Learn With Mansi
1,6mil. vizualizări
12 iul. 2021
13:31
Algebraic Expressions - Chapter 10 - Introduction - NCERT Class 7th Maths Solutions
YouTube
Mathematics Class VII
3,2mil. vizualizări
30 iul. 2018
Cele mai importante videoclipuri
Polynomial Class 9 Chapter 2 Notes, Examples & Important Questions
byjus.com
9 mai 2018
12:55
NCERT Solutions for Class 9 Maths Chapter 2 Polynomials
tiwariacademy.com
Acum 8 luni
2:46
9th Class Computer Chapter 2 Number Systems | Integers Representation in Computer Memory | New Book
YouTube
Easy Computers With Abdulla
58 vizualizări
Acum 4 luni
Maths Class 10 Chapter 2
25:26
Complete Polynomials Class 10 in 20 Mins | CBSE Class 10 Maths | Polynomial One Shot Revision
YouTube
Vedantu CBSE 10TH
371,4mii vizualizări
31 iul. 2023
1:11:54
Number Systems - Introduction | Class 9 Maths Chapter 1
YouTube
Magnet Brains
1,6mil. vizualizări
10 mai 2022
21:54
Class 10 Maths | Chapter 6 | Introduction | Triangles | NCERT
YouTube
Class 10 Learn With Mansi
1,2mil. vizualizări
19 aug. 2021
Polynomial Class 9 Chapter 2 Notes, Examples & Important Questions
9 mai 2018
byjus.com
12:55
NCERT Solutions for Class 9 Maths Chapter 2 Polynomials
Acum 8 luni
tiwariacademy.com
2:46
9th Class Computer Chapter 2 Number Systems | Integers Repre
…
58 vizualizări
Acum 4 luni
YouTube
Easy Computers With Abdullah
25:40
CBSE Class 9 Maths | Chap 1 : Number Systems | Part 2 | Decima
…
51 vizualizări
Acum 3 săptămâni
YouTube
Angle45
0:59
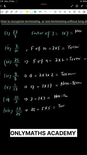
terminating and non terminating decimal l class 9 maths l #number
…
66 vizualizări
Acum 9 luni
YouTube
ONLYMATHS ACADEMY
50:40
Polynomials - Introduction | Class 9 Maths Chapter 2
637mii vizualizări
26 ian. 2022
YouTube
Magnet Brains
50:55
CBSE Class 9 Maths (Term-2) Polynomials (Chapter 2) Concept,
…
88,8mii vizualizări
14 dec. 2021
YouTube
BYJU'S - Class 9 & 10
3:08:18
Number System Class 9 in ONE SHOT || Chapter 1 Maths || Ritik Mi
…
228,6mii vizualizări
Acum 4 luni
YouTube
Ritik Mishra - 9th & 10th
13:41
Ex 2.1 Q3 Q4 | RD Sharma Class 9 | Chapter 2 Exponents of Real Num
…
78,2mii vizualizări
3 apr. 2023
YouTube
MD Sir Class 9
41:50
RD Sharma Class 9 Solutions Chapter 2 Exponents Of Real Num
…
212,2mii vizualizări
16 mai 2021
YouTube
Ravinder Maths Teacher
4:17:32
Motion Full Chapter With Numericals (Part 2) Class 9 | Clas
…
1,1mil. vizualizări
13 sept. 2020
YouTube
Magnet Brains
3:29
Class 9th Motion Notes 🔥| Class 9 Science Chapter 8 Notes @Shobhi
…
694,5mii vizualizări
31 iul. 2023
YouTube
Shobhit Nirwan - 9th
9th Class Physics Chapter 2 Numerical 2.7 - Physics Numerical
…
44,7mii vizualizări
6 oct. 2022
YouTube
NAR SCIENCE COLLEGE
36:00
Class 9 Maths Chapter 2 Exercise 2.1 New Book| National Book Fou
…
382,7mii vizualizări
28 mar. 2024
YouTube
Fazal Academy
5:29
Class 9 (Science) Chapter 2,Is Matter Around Us Pure Notes || Ne
…
87,6mii vizualizări
2 iun. 2023
YouTube
Excellent Work
55:22
class 9 maths chapter 2 exercise 2.3 new book | national book foundati
…
323,4mii vizualizări
3 mai 2024
YouTube
Fazal Academy
59:23
Class 9 Maths Unit 2 Exercise 2.4 NCERT Exemplar - Quick Revision
…
99,3mii vizualizări
21 iul. 2021
YouTube
Magnet Brains
21:08
Class 2 Maths Chapter 9 | My Funday (Part 2) - My Funday | Mat
…
8,7mii vizualizări
13 oct. 2021
YouTube
Magnet Brains
24:39
Class 9 Practice Set 2.3 Lecture 4 Real Numbers Chapter 2| 9th Math
…
134,3mii vizualizări
1 oct. 2021
YouTube
Yogesh Sir's Backbenchers
23:57
Change decimals in the form of p/q – Number System – Class 9 NCERT
37,8mii vizualizări
27 apr. 2021
YouTube
UJJWAL MATHS
24:45
Class 9 Maths | Chapter 2 | Introduction Part 2 | Polynomials |
…
1,3mil. vizualizări
4 iun. 2021
YouTube
Class 9 Learn With Mansi
31:15
NCERT Exercise 1.3 Explained | Real Numbers & Decimal Expansion | C
…
159 vizualizări
Acum 3 săptămâni
YouTube
G.S.CLASSES
8:20
Class 9 Maths | Ex.2.4 Q2 | Chapter 2 | Polynomials | New NCERT | Ranv
…
263,6mii vizualizări
7 mai 2023
YouTube
Ranveer Maths 9
14:03
Class 9 - Computer Studies - Chapter 2 - Lecture 1 Decimal ,Bin
…
60,6mii vizualizări
23 nov. 2020
YouTube
Allied Schools
3:53:35
Number System FULL CHAPTER | Class 9th Mathematics | Chapter
…
267,5mii vizualizări
8 sept. 2023
YouTube
NEEV
1:48:33
Class 9 Maths, Ex 2.5 Q1 to Q8 || Chapter 2 (Polynomials) || NCERT
…
1,7mil. vizualizări
20 sept. 2022
YouTube
MKR Class 9th
35:47
Class 9 Maths Chapter 2 Exercise 2.3 New Book| National Book Fou
…
8,3mii vizualizări
2 mai 2024
YouTube
MathPhysics
5:03
Class - 9th, Ex - 2.2, Q 1 ( POLYNOMIALS ) Maths CBSE NC
…
1,9mil. vizualizări
11 apr. 2018
YouTube
MKR Class 9th
27:30
RD Sharma Class 9 Chapter 2 Exponents of Real Numbers Ex 2.
…
61,7mii vizualizări
9 mai 2022
YouTube
Ravinder Maths Teacher
Vedeți mai multe videoclipuri
Mai multe ca acest lucru
Părere