English
Toate
Căutați
Imagini
Videoclipuri
Hărți
Știri
Mai multe
Cumpărături
Zboruri
Călătorii
Interfață mesaje
Raportați conținut necorespunzător
Selectați una dintre opțiunile de mai jos.
Nerelevant
Ofensator
Adult
Abuz sexual împotriva copiilor
Durată
Toate
Scurt (sub 5 minute)
Mediu (5-20 minute)
Lung (peste 20 de minute)
Dată
Toate
Ultimele 24 de ore
Ultima săptămână
Ultima lună
Ultimul an
Rezoluție
Toate
Mai puţin de 360p
360p sau mai mult
480p sau mai mult
720p sau mai mult
1080p sau mai mult
Sursă
Toate
MySpace
Dailymotion
Metacafe
Preț
Toate
Gratuit
Cu plată
Golire filtre
Căutare sigură:
Moderat
Strictă
Moderată (implicit)
Dezactivată
Filtru
7:19
Facebook
Luis Lazarus-Zeus Tv
274K views · 17K reactions | Ciolanu’ să plece imediat, dar IMEDIAT! L-au sacrificat pe Iohannis, care era oricum terminat, ca să-l salveze pe Ciolanu’, cu tot guvernul lui de
Luis Lazarus-Zeus Tv. . Ciolanu’ să plece imediat, dar IMEDIAT! L-au sacrificat pe Iohannis, care era oricum terminat, ca să-l salveze pe Ciolanu’, cu tot guvernul lui de doi lei, care distruge românii cu taxe și impozite și a adus țara în pragul falimentului! Fortaaa!!! Nu vă lăsați manipulați!
169,7mii vizualizări
Acum 3 săptămâni
Lazarus IDE
24:03
VOCÊ não vai ACREDITAR NO QUE eu fiz usando o LAZARUS IDE!
YouTube
MG Missel
212 vizualizări
Acum 2 luni
14:14
MASSIVE UPDATE: MAGPUL Has Responded In What Has To Be The FASTEST Response On Record | DETAILS NOW
YouTube
Langley Outdoors Academy
165,3mii vizualizări
Acum 3 luni
1:35
Program an Adventure Game in Object Pascal (Delphi or Lazarus)
YouTube
HuwsTube
1,4mii vizualizări
Acum 1 săptămână
Cele mai importante videoclipuri
0:10
Understanding the Lazarus Sign: Reflexes in Brain-Dead Patients
TikTok
dr.pythias5426
1,4mii vizualizări
Acum 3 luni
Roblox Project Lazarus: Ultimate Late Game Strategy Guide
YouTube
EdgeMasterGaming
73mii vizualizări
2 sept. 2020
4:04
Lazarus Anchor Editor
YouTube
badsectoracula
2mii vizualizări
19 oct. 2013
Lazarus and Folkman Theory
7:52
Lazarus Is Raised from the Dead | John 11 |
YouTube
The Church of Jesus Christ of
13,1mil. vizualizări
26 nov. 2014
2:39
Lazarus - Official Trailer | Prime Video
YouTube
Prime Video
6,1mil. vizualizări
Acum 3 luni
2:56
Lazarus | EARLY LOOK: Prison Break | adult swim
YouTube
Adult Swim
201,3mii vizualizări
Acum 9 luni
0:10
Understanding the Lazarus Sign: Reflexes in Brain-Dead Patients
1,4mii vizualizări
Acum 3 luni
TikTok
dr.pythias5426
Roblox Project Lazarus: Ultimate Late Game Strategy Guide
73mii vizualizări
2 sept. 2020
YouTube
EdgeMasterGaming
4:04
Lazarus Anchor Editor
2mii vizualizări
19 oct. 2013
YouTube
badsectoracula
1:39
Lazarus - Official Trailer
106,5mii vizualizări
10 mar. 2021
YouTube
Samuel Goldwyn Films
4:36
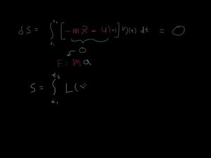
Euler-Lagrange equation
47,8mii vizualizări
27 apr. 2013
YouTube
PhysicsHelps
14:12
Project Lazarus - Gameplay / (PC)
9,7mii vizualizări
23 iun. 2022
YouTube
Pobre Gamer
1:37:20
Who Was Lazarus?
66,8mii vizualizări
3 mai 2022
YouTube
Centre Place
23:00
Lazarus Modern UI FreePascal Source
18,2mii vizualizări
26 mar. 2022
YouTube
Andreas Wunnenberg
7:56
Diablo - Lazarus (Diablo 1)
128,8mii vizualizări
7 oct. 2008
YouTube
Kebooooo
4:09
David Bowie - Lazarus (Lyrics)
21,5mii vizualizări
12 ian. 2016
YouTube
Lyrics Ocean
14:01
Calculus 1 Lecture 4.3 Part 8
1,5mii vizualizări
24 apr. 2012
YouTube
Professor Leonard
1:29:10
The Lazarus Effect
212,3mii vizualizări
12 iun. 2015
YouTube
lidiya kelsieva
4:15
Raising Lazarus from the Dead
50,6mii vizualizări
7 mai 2019
YouTube
Messages of Christ
13:01
Lazarus SQL database tutorial 2
22,7mii vizualizări
12 aug. 2010
YouTube
MrTkramer3
2:26
The Lazarus Effect - Official Trailer
Trailer
3,3mil. vizualizări
7 ian. 2015
YouTube
Relativity Media
5:19:15
Pokémon Lazarus - Full Game Walkthrough (4K)
14,3mii vizualizări
Acum 1 lună
YouTube
Sirloin
7:20
Story of Lazarus
238,7mii vizualizări
18 nov. 2017
YouTube
F. C. Barnes - Topic
13:59
Lazarus SQL database video tutorial
91,8mii vizualizări
10 aug. 2010
YouTube
MrTkramer3
9:29
Lazarus Tutorial #1 - Learning programming
21,1mii vizualizări
3 aug. 2016
YouTube
Devstructor.com/DelphiTutorialsTk
10:36
Lazarus Tutorial #5 - Timer
19,5mii vizualizări
11 aug. 2016
YouTube
Devstructor.com/DelphiTutorialsTk
7:07
Programmieren mit der Lazarus IDE (Free Pascal)
16,2mii vizualizări
6 iun. 2019
YouTube
CloestJo
9:12
Understanding Limits and L'Hospital's Rule
376,4mii vizualizări
16 apr. 2018
YouTube
Professor Dave Explains
4:46
Heroes (Lazarus Cast Recording [Audio])
169,6mii vizualizări
21 oct. 2016
YouTube
DavidBowieVEVO
4:30
The Symbolism of Lazarus
16,9mii vizualizări
6 iun. 2022
YouTube
The Bible is Art
4:34
Project Lazarus Round 110 Solo Graduation
84,7mii vizualizări
29 mai 2022
YouTube
megakazm
6:59
Create REST APIs in FreePascal & Lazarus
5mii vizualizări
4 aug. 2020
YouTube
Tech & Swords
3:28
How to Install Lazarus on Windows
3,3mii vizualizări
23 mar. 2018
YouTube
How To Install
4:37
The Raising of Lazarus
35,8mii vizualizări
7 mar. 2015
YouTube
Messages of Christ
12:32
Lazarus 001 - Intro und Erklärung
4,8mii vizualizări
9 mai 2016
YouTube
Tycoonpro original
Vedeți mai multe videoclipuri
Mai multe ca acest lucru
Părere