English
Toate
Căutați
Imagini
Videoclipuri
Hărți
Știri
Mai multe
Cumpărături
Zboruri
Călătorii
Interfață mesaje
Raportați conținut necorespunzător
Selectați una dintre opțiunile de mai jos.
Nerelevant
Ofensator
Adult
Abuz sexual împotriva copiilor
Durată
Toate
Scurt (sub 5 minute)
Mediu (5-20 minute)
Lung (peste 20 de minute)
Dată
Toate
Ultimele 24 de ore
Ultima săptămână
Ultima lună
Ultimul an
Rezoluție
Toate
Mai puţin de 360p
360p sau mai mult
480p sau mai mult
720p sau mai mult
1080p sau mai mult
Sursă
Toate
MySpace
Dailymotion
Metacafe
Preț
Toate
Gratuit
Cu plată
Golire filtre
Căutare sigură:
Moderat
Strictă
Moderată (implicit)
Dezactivată
Filtru
MATHS AU CE2 ACCÈS Éditions - Entrez dans ma classe
19 oct. 2020
entrez-dans-ma-classe.fr
Frise chronologique et carte mentale
6 ian. 2022
nouvelle-aquitaine.fr
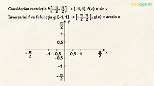
Funcțiile sinus și arcsinus M2. Matematica clasa a 10-a
14 ian. 2021
eduboom.ro
#shapesacademy #florinminda #tips #cursbarber #scissors #cursunula
…
19,3mii vizualizări
22 dec. 2022
TikTok
florinminda
0:07
Banh Mi Sandwich Mukbang 🥖 | 반미 먹방 | バインミーモッパンl asmr
20mii vizualizări
Acum 1 lună
YouTube
asmr_코코
Find the curved surface area of the frustum of a cone, the diam... | Filo
5,7mii vizualizări
30 dec. 2022
askfilo.com
Frises, pavages et cristallographie - Micmaths
64,6mii vizualizări
21 mar. 2014
YouTube
Mickaël Launay (Micmaths)
The Frisé | Snare Drum Technique
1,8mii vizualizări
20 oct. 2021
YouTube
Jonathan Curtis
6:42
Clasa V Fractii ordinare Amplificarea si simplificarea fractiilor
4,4mii vizualizări
28 ian. 2021
YouTube
Learn Math Easy
18:22
Prisma. Formarea imaginilor. Oglinzi plane şi sferice.
9,3mii vizualizări
4 dec. 2019
YouTube
Lecții Virtuale
24:38
Calcule cu măsuri de unghiuri | Lectii-Virtuale.ro
7,8mii vizualizări
13 nov. 2020
YouTube
Lecții Virtuale
17:30
Mișcarea circulară uniformă: mărimi caracteristice, accelerația centripetă
16,6mii vizualizări
17 dec. 2019
YouTube
Lecții Virtuale
6:37
Ne jucăm cu Tic-Pitic 🧙♂️| DS - activitate matematica - limitele 1-6
26,8mii vizualizări
17 ian. 2021
YouTube
Maria-Ramona Păuna
3:07
HOW TO USE THE TRIMMER LEVER | INTERMEDIATE GRIDS
42,2mii vizualizări
2 nov. 2022
YouTube
Florin Nazîru
8:54
12 lectii de matematica - Lectia 9 - Notiuni geometrice fundamentale
…
557 vizualizări
7 feb. 2023
YouTube
B&B - Matematica
5:02
Probleme de miscare - Distanta, viteza, timp - Masini care pleaca di
…
29,3mii vizualizări
13 feb. 2020
YouTube
B&B - Matematica
7:16
Clasa IX Cum demonstrez ca un sir reprezinta sau nu o progresie geo
…
4,3mii vizualizări
11 feb. 2021
YouTube
Learn Math Easy
5:08
How to whip natural cream? Chantilly Cream Tutorial CC ENG
…
51mii vizualizări
24 sept. 2023
YouTube
Savori Urbane
5:03
Corpuri geometrice. Cilindrul, sfera, conul. Matematica clasa a 3-a
14 apr. 2022
eduboom.ro
2:25
80K views · 4.3K reactions | În clasele primare 90% dintre copii m
…
80,5mii vizualizări
Acum 6 zile
Facebook
Profa de mate
7:26
Mărimi fizice scalare. Identificarea mărimilor fizice scalare. Fizica cla
…
31 aug. 2021
eduboom.ro
6:26
Unităţi de măsură pentru unghiuri şi arce. Matematica clasa a 9-a
9 feb. 2021
eduboom.ro
Desfășurarea corpurilor geometrice - Fișe de activitate
22 iul. 2016
twinkl.ro
6:52
Unghiuri opuse la vârf. Unghiuri formate în jurul unui punct. Exerci
…
2 dec. 2020
eduboom.ro
14:22
Matrix Transformations
151,8mii vizualizări
18 aug. 2022
YouTube
1st Class Maths
13:33
LE COURS : Translation - Quatrième
448,3mii vizualizări
20 oct. 2020
YouTube
Yvan Monka
11:47
Fibonacci Tutorial
294,6mii vizualizări
21 mar. 2016
YouTube
nicola folkes
2:23
Doglopedia - Bichon Frisé
91,7mii vizualizări
16 iul. 2012
YouTube
The Pet Collective
2:29
Scratch - Frise égyptienne
2mii vizualizări
2 mar. 2023
YouTube
Maths et Jeux (Juliette Hernando)
13:17
Domain and Range
77,5mii vizualizări
6 nov. 2022
YouTube
1st Class Maths
Vedeți mai multe videoclipuri
Mai multe ca acest lucru
Părere